推想科技与天坛医院等联合科研在《Frontiers in Neuroscience》发表,用深度学习模型快速准确量化脑出血体积
近日,北京天坛医院、复旦大学附属中山医院青浦分院与推想科技联合科研成果《Deep Network for the Automatic Segmentation and Quantification of Intracranial Hemorrhage on CT》在神经科学SCI期刊《Frontiers in Neuroscience》(影响因子3.707)发表。该论文研究了深度学习模型在脑出血分割和体积测量方面的优异表现,可以为脑出血临床诊断提供辅助。
北京天坛医院、复旦大学附属中山医院青浦分院与
推想医疗联合科研成果在SCI上发表
实验设计
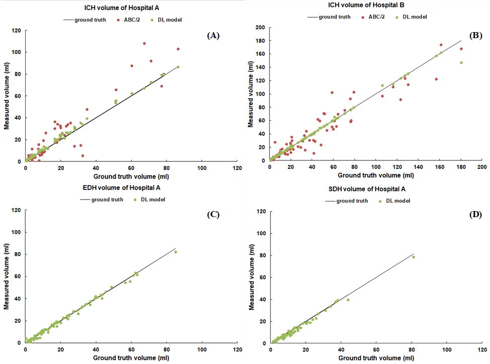
本实验收集了来自北京天坛医院的3211例脑出血病例的CT图像,其中3000例CT数据用于模型的训练集和验证集,211例脑出血CT数据用于模型的内部测试集。为了验证模型的可靠性,本研究收集了来自复旦大学附属中山医院青浦分院的86例脑出血CT数据用于外部测试。本研究基于Dense U-Net构建脑出血全自动分割与量化的深度学习模型框架,并采用与金标准的Dice系数、组内相关系数(ICC),以及皮尔逊相关系数(PCC)来评估深度学习模型的性能。同时,为了验证模型的有效性,本研究将基于Dense U-Net构建的深度学习模型的体积估计结果与传统的ABC/2方法进行了对比分析。
注:Hospital A指北京天坛医院
Hospital B指复旦大学附属中山医院青浦分院
实验结果
结果表明,无论是内部测试还是外部测试,本研究构建的深度学习模型均具有较高的Dice系数。同时,相比于传统的ABC/2脑出血体积估计方法,本研究构造的深度学习模型具有更高的组内相关系数和皮尔逊相关系数,这表明了本研究构造的深度学习模型可成功用于全自动分割颅内出血肿块轮廓和量化颅内出血体积,且在度量较为复杂的颅内出血肿块的体积时,比传统的方法更为准确。
本研究基于Dense U-Net构建的深度学习模型具有准确的分割效果,内部测试集的Dice系数为0.82–0.90,外部测试集的Dice系数为0.86。

Table3
Table 3和上图表明,相比于传统的ABC/2脑出血体积估计方法,本研究基于Dense U-Net构建的深度学习模型对脑出血体积估计结果与金标准具有更强的相关性(ICC:0.998;PCC>0.996)。
意义与价值
本研究的结果表明,基于Dense U-Net构建的深度学习模型可以有效地分割对颅内出血肿块进行分割。同时,相比于传统的ABC/2颅内出血体积估算方法,本研究构建的深度学习模型能够更为准确且快速地量化颅内出血体积,这能够辅助医生为临床干预和个性化治疗提供重要决策信息。


